Kỳ thi vào lớp 10 tại Hà Nội diễn ra ngày 8 và 9/6. Tổng số thí sinh đăng ký thi là hơn 105.000 thí sinh. Dự kiến, 81.200 học sinh được tuyển vào trường THPT công lập, số học sinh còn lại sẽ học tư thục, trung tâm giáo dục thường xuyên và các trường nghề.
Điểm xét tuyển lớp 10 = (Điểm Toán + Điểm Văn) x 2 + Điểm Ngoại ngữ + Điểm ưu tiên.
Chậm nhất ngày 2/7, Sở GD&ĐT Hà Nội sẽ công bố điểm bài thi các môn của thí sinh trên Cổng thông tin điện tử của Sở, Cổng tuyển sinh đầu cấp của thành phố.
![]() |
| Thí sinh dự thi lớp 10 tại Hà Nội. (Ảnh: Phương Thảo) |
Ngay sau khi có điểm, thí sinh nếu băn khoăn về mức điểm các môn có thể làm đơn xin phúc khảo. Đơn phúc khảo nộp về Phòng GD&ĐT từ ngày 3-9/7.
Sau khi công bố điểm bài thi, Sở GD&ĐT Hà Nội sẽ tổ chức họp duyệt điểm chuẩn vào lớp 10 của từng trường công lập.
Ngày 5/7, Sở GD&ĐT họp xét duyệt điểm chuẩn vào lớp 10 THPT công lập không chuyên và trường THPT chuyên và công bố điểm chuẩn xét tuyển ngay sau đó. Theo lịch, từ ngày 6/7 đến ngày 9/7, Sở GD&ĐT Hà Nội sẽ công bố điểm chuẩn vào lớp 10 tại các trường.
Dưới đây là đề thi, đáp án chính thức 3 môn thi vào lớp 10 không chuyên do Sở GD&ĐT Hà Nội vừa công bố chiều 13/6.
![]() ![]() |
| Đề thi và đáp án môn Văn. |
![]() ![]() ![]() ![]() |
| Đề thi môn tiếng Anh mã đề 101. |
![]() |
| Đáp án chính thức môn tiếng Anh. |
Đề thi và đáp án chính thức môn tiếng Hàn, tiếng Đức, tiếng Nhật, tiếng Pháp thí sinh có thể xem TẠI ĐÂY.
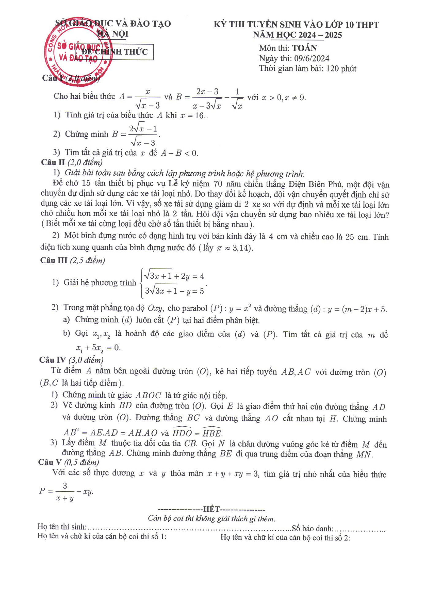
![]() |
| Đề thi môn Toán. |
![]() ![]() |
| Đáp án môn Toán. |
![]() |











