Hội đồng tuyển sinh lớp 10 của trường Phổ thông Năng khiếu (ĐHQG TP.HCM) đã công bố đáp án chính thức cho các môn thi của kỳ thi tuyển sinh vào lớp 10, năm học 2024 - 2025. 7 môn thi bao gồm: Toán (chuyên và không chuyên), Ngữ Văn (chuyên và không chuyên), Tiếng Anh (chuyên và không chuyên), Vật Lí, Hóa Học, Sinh Học và Tin Học.
Đối với môn Toán, đề thi không chuyên bao gồm 2 phần: Trắc nghiệm (10 câu) và tự luận (5 câu) còn đề thi Toán chuyên thì toàn bộ là câu hỏi tự luận với điểm số được “rải đều” cho từng ý.
Đề thi môn Ngữ Văn (không chuyên) đánh giá hiểu biết và kỹ năng làm bài của các thí sinh một cách toàn diện thông qua bộ 3: Đọc hiểu - nghị luận xã hội - nghị luận văn học.
Đề thi Văn (chuyên) đánh giá kỹ năng nghị luận của thí sinh. Giúp thí sinh bộc lộ tư duy lập luận sắc bén, mức độ hiểu biết để đưa ra đa dạng dẫn chứng, cách nhìn nhận vấn đề sáng tạo, không theo lối mòn.
Riêng môn Tiếng Anh có những lưu ý sau:
- Ký hiệu / trong đáp án diễn tả các đáp án khác nhau được chấp nhận.
- Ký hiệu ngoặc tròn ( ) trong đáp án diễn tả các phần không bắt buộc ghi trong câu trả lời. Tuy nhiên nếu thí sinh ghi sai phần trong ( ) sẽ bị tính là sai.
- Các câu trả lời không tuân thủ theo hướng dẫn đề thi/ instructions (số lượng từ quy định tối thiểu/ tối đa, v.v...) thì không được chấm điểm.
- Không phân biệt viết in hoa hay thường, nếu đúng chính tả và đúng yêu cầu đề thi (số lượng từ, ký hiệu đáp án, v.v...) thì đều tính điểm.
- Phần Sentence transformation: Cần tuân thủ quy tắc viết hoa (đầu câu, tên riêng, v.v...) và chấm câu đầy đủ (phẩy (,) chấm (.)) theo đáp án thì mới được tính đúng.
- Phần Passage 2 (đề chuyên): Thí sinh có thể viết tắt (F cho False, T cho True, NG cho Not Given). Câu 97/98/99 thí sinh điền đáp án theo thứ tự nào cũng được cho điểm.
- Nếu thí sinh có đáp án khác và hợp lý/đúng thì vẫn cho trọn điểm.
Đề thi và đáp án chính thức của các môn thi như sau:
Môn Toán
Đề thi môn Toán (không chuyên)
![]() ![]() |
Đáp án môn Toán (không chuyên)
![]() ![]() ![]() |
Đề thi môn Toán (chuyên)
![]() |
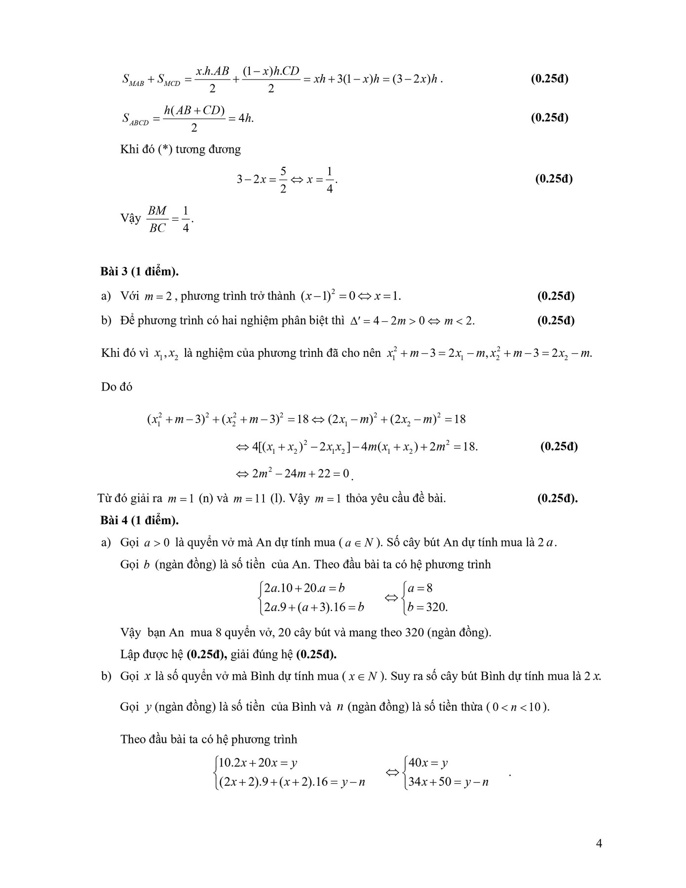
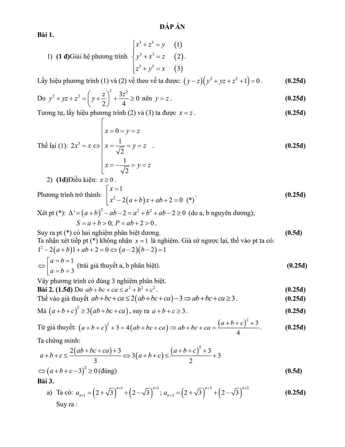
Đáp án môn Toán (chuyên)
![]() ![]() ![]() |
Môn Ngữ Văn
Đề thi môn Ngữ Văn (không chuyên)
![]() ![]() ![]() |
Đáp án môn Ngữ Văn (không chuyên)
![]() |
![]() ![]() ![]() |
Đề thi môn Ngữ Văn (chuyên)
![]() ![]() |
Đáp án môn Ngữ Văn (chuyên)
![]() |
![]() ![]() ![]() |
Môn Tiếng Anh
Đề thi môn Tiếng Anh (không chuyên) mã đề 139
![]() ![]() ![]() ![]() |
Đáp án môn Tiếng Anh (không chuyên)
![]() |
![]() ![]() ![]() ![]() |
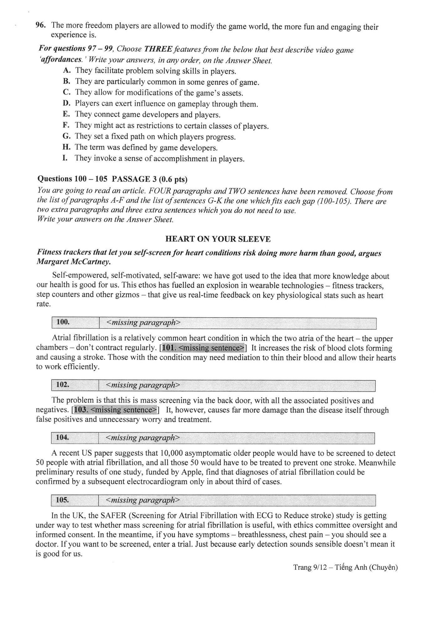
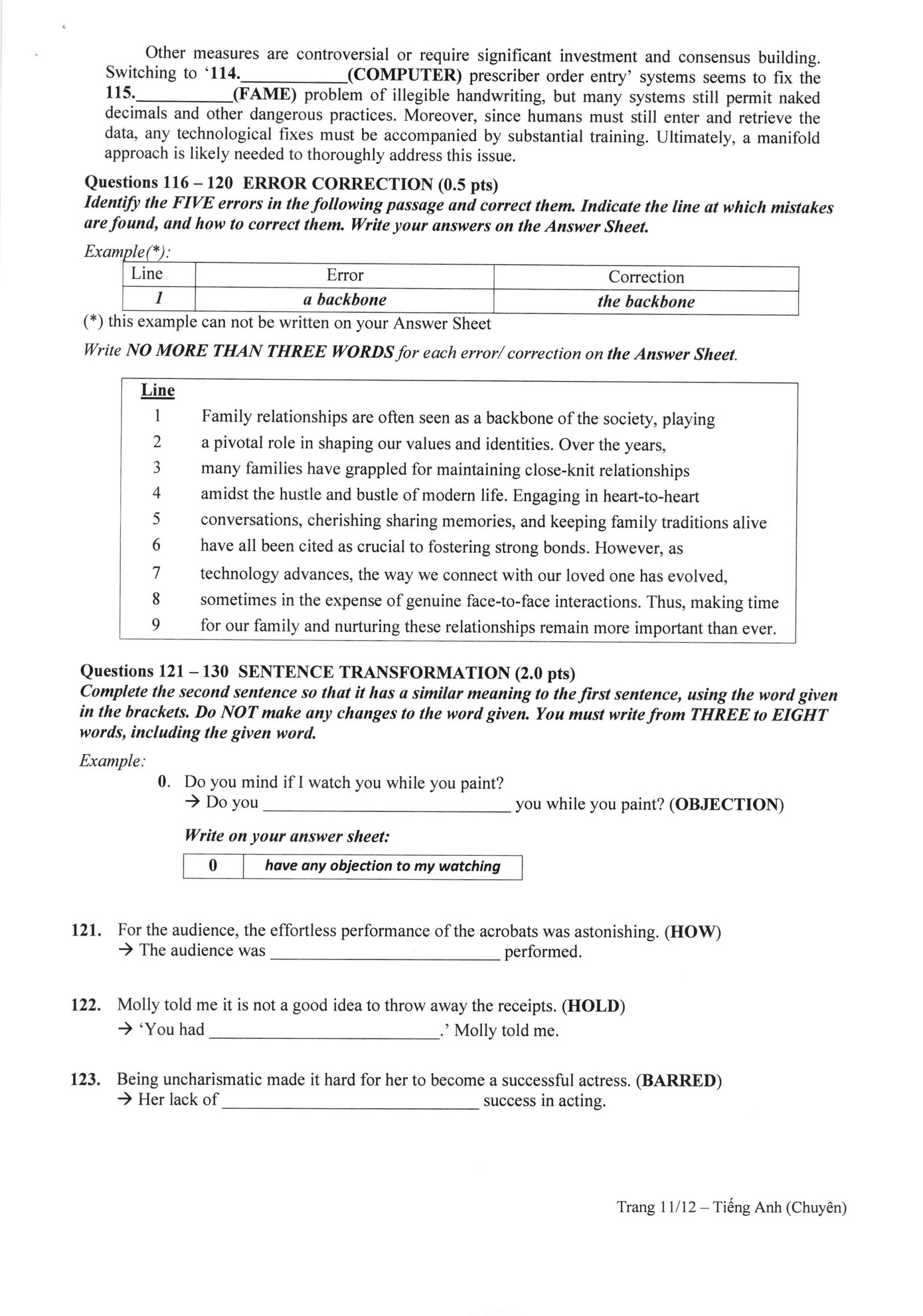
Đề thi môn Tiếng Anh (chuyên)
![]() ![]() ![]() ![]() |
![]() ![]() ![]() ![]() |
![]() ![]() ![]() ![]() |
Đáp án môn Tiếng Anh (chuyên)
![]() ![]() |
Môn Vật Lí
Đề thi môn Vật Lí
![]() ![]() ![]() |
Đáp án môn Vật Lí
![]() ![]() |
![]() ![]() ![]() |
Môn Hóa Học
Đề thi môn Hóa Học
![]() ![]() |
Đáp án môn Hóa Học
![]() ![]() ![]() |
Môn Sinh Học
Đề thi môn Sinh Học
![]() ![]() ![]() ![]() |
Đáp án môn Sinh Học
![]() ![]() ![]() ![]() |
Môn Tin Học
Đề thi môn Tin Học
![]() ![]() ![]() |
Đáp án môn Tin Học
![]() |
![]() |






































































